The Central Railway is all set to implement a 63-hour mega block starting at midnight on May 30 for platform extension works on the Mumbai network. This will impact local train services, the city’s lifeline, and disrupt the work schedules of hundreds of thousands of commuters.
The Central Railway’s Mumbai division has posted the list of cancelled and short-terminated train details on their social media handle. The post reads, “Special Block Alert! Special midnight block up to 01/02.06.2024 for Pre Non-Interlocking works. Block repercussions today on 30/31.05.2024. Suburban/Mail Exp train services will not be available between Byculla and CSMT from 00.30 hrs to 04.30 hrs (midnight of 30/31.05.2024).”
The mega block will be implemented for platform extension and widening works at Chhatrapati Shivaji Maharaj Terminus (CSMT) in south Mumbai and Thane station. Several mail-express and suburban trains will be short-terminated and short-originated from Wadala, Dadar, Thane, Pune, Panvel, and Nashik stations. The Railways have requested the Brihanmumbai Electric Supply and Transport (BEST) and the Maharashtra State Road Transport Corporation (MSRTC) to operate additional buses for passenger convenience.
Here’s the list of important railway lines that will be halted on Thursday/Friday:

Here’s the list of important railway lines that will be halted on Saturday:


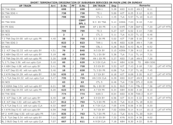
Here’s the list of important railway lines that will be halted on Sunday:



 
 